기간무제한, 필기합격반
2026 전기기사 전기산업기...
장바구니
전기스쿨소개
교수소개
업데이트 : 2026.01.28
▼
■ 개강안내
■ 온라인강의
■ 원격제어
■ 뉴스레터
▼
필기합격반 도서
실기합격반 도서
무료동영상 도서
필기과정
필기합격반
과목별 단과반
필기특강반
실기과정
전기(산업)기사
공사(산업)기사
년도별문제
실기모의고사
USB 강의
필기합격반
실기과정 기사
실기과정 공사
기간무제한
필기합격반
실기과정 기사
실기과정 공사
실기모의고사
전기(산업)기사
공사(산업)기사
필기특강반
홈
>
커뮤니티
>
정회원 자료
우리들의 이야기 / 정보공유 / 무료학습자료
홈
>
커뮤니티
>
정회원 자료
합격수기
무료학습
학습자료
복원/모의고사
정회원 자료
열린게시판
구독게시판
전체보기
필기 전기기사
필기 산업기사
필기 공사기사
필기 공사산업
실기 전기기사
실기 산업기사
실기 공사기사
실기 공사산업
제목
이름
내용
번호
제목
등록인
등록일
추천수
조회수
비고
공학기초 / 기초수학 자료
전기스쿨
2021-01-31
0
3210
전기기사 산업기사 실기 요약정리집 <1>
김대호
2017-12-04
25
9259
전기기사 산업기사 실기 요약정리집 <2>
김대호
2018-03-16
11
4858
전기기사 산업기사 실기 요약정리집 <3>
김대호
2018-03-16
7
4877
전기기사 산업기사 실기 요약정리집 <4>
김대호
2018-09-12
0
4191
본 게시판 자료는 저작권이 있는 자료이므로 배포하실 경우 법적 책임이 있음을 알려드립니다.
김대호
2018-07-11
0
3133
본 자료실은 프리미엄(정회원)회원 전용자료실입니다.
김대호
2018-07-03
0
3509
2009~2017년 전기기사 필기문제 및 답
김대호
2018-03-18
1
4719
필기 및 실기 카테고리를 이용하여 검색하세요
김대호
2018-03-18
0
3309
135
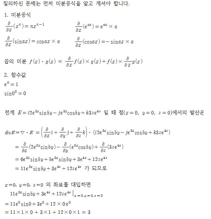
[실기 전기기사]
자기학 미분공식 / 전계의 발산
(
0
)
김대호
2019-12-23
0
1513
134
[실기 공사기사]
완철의 설치위치 / 전원측 구별하는 방법
(
0
)
김대호
2019-10-06
0
1492
133
[실기 공사기사]
경간이 다른 이도의 계산
(
0
)
김대호
2019-10-01
0
1400
132
[필기 공사산업]
2019 제4회 전기공사산업기사 필기 가답안
(
0
)
김대호
2019-09-25
0
1466
131
[필기 공사기사]
2019 제4회 전기공사기사 필기 가답안
(
0
)
김대호
2019-09-25
0
1506
130
[필기 전기기사]
한자용어 표준화
(
0
)
김대호
2019-09-07
0
1374
129
[필기 산업기사]
2019 제3회 전기산업기사 필기 확정답안
(
0
)
김대호
2019-09-04
0
1481
128
[필기 전기기사]
2019 제3회 전기기사필기 확정답안
(
0
)
김대호
2019-09-04
0
1532
127
[실기 전기기사]
고조파 억제대책 / 단락용량 관련내용
(
0
)
김대호
2019-08-25
0
1512
126
[필기 전기기사]
2019 제3회 전기기사 필기 가답안
(
0
)
김대호
2019-08-04
0
1448
125
[필기 전기기사]
공무원 전기일반 교과목 목차
(
0
)
김대호
2019-07-22
0
1512
124
[실기 전기기사]
피뢰기의 단로장치(디스커넥터)
(
0
)
김대호
2019-07-21
0
1440
123
[실기 전기기사]
델타결선과 V결선의 동손비 계산 / 과부하율 적용
(
0
)
김대호
2019-07-20
0
1464
122
[필기 전기기사]
구의 표면적 유도
(
0
)
김대호
2016-11-28
1
1375
121
[실기 전기기사]
변압기 각변위
(
0
)
김대호
2019-07-17
0
1437
120
[실기 전기기사]
단권변압기 장단점
(
0
)
김대호
2019-07-17
0
1405
119
[기사실기]
케이블 활석가루
(
0
)
김대호
2019-05-27
0
1377
118
[기사실기]
푸리에 급수
(
0
)
김대호
2019-06-06
0
1320
117
[기사실기]
설계기준 분전반 설치사항
(
0
)
김대호
2019-06-30
0
1282
116
[기사실기]
영상전류검출방법
(
0
)
김대호
2019-07-01
0
1362
1
2
3
4
5
6
7
8
9
10
사이트 이용문의 : 0505-233-3314 FAX : 0505-233-3315 이메일주소 : pekor@naver.com 대표 : 강명아
주소 : 서울특별시 서초구 효령로 41, 1층 통신판매등록번호 : 2010-서울서초-0491
사업자등록번호 : 114-90-85522 스카이미디어(교육청 평생교육시설) 개인정보관리책임자 : 강명아
Since2004, Copyright ⓒ 2026 스카이미디어 / 전기스쿨 All Rights Reserved. Ver 3.4