장바구니
전기스쿨소개
교수소개
업데이트 : 2026.04.28
▼
■ 개강안내
■ 온라인강의
■ 원격제어
■ 뉴스레터
▼
필기합격반 도서
실기합격반 도서
무료동영상 도서
필기과정
필기종합반
과목별 단과반
필기특강반
실기과정
전기(산업)기사
공사(산업)기사
년도별문제
실기모의고사
USB 강의
필기합격반
실기과정 기사
실기과정 공사
기간무제한
필기합격반
실기과정 기사
실기과정 공사
실기모의고사
전기(산업)기사
공사(산업)기사
필기특강반
홈
>
커뮤니티
>
학습자료
우리들의 이야기 / 정보공유 / 무료학습자료
홈
>
커뮤니티
>
학습자료
합격수기
무료학습
학습자료
복원/모의고사
정회원 자료
열린게시판
구독게시판
전체보기
기사실기
기사필기
기술사
제목
이름
내용
번호
제목
등록인
등록일
추천수
조회수
비고
전기기사 전기기기, 15점 이상을 위한 캐릭터 공략법
김대호
2025-07-02
163
2564
한국전기설비규정(KEC), 15점 이상을 위한
김대호
2025-07-02
178
3744
전기기사 전력공학, 15점 이상을 위한 필승 공략집
김대호
2025-07-02
161
2770
전기기사 전자기학, 12점을 위한 전략적 학습법
김대호
2025-07-02
160
2484
전기기사 회로이론, 12점 확보를 위한 최소 공략법
김대호
2025-07-02
163
2815
표준용어사전
전기스쿨
2021-02-19
462
9168
◆ 전선약호 Full name
김대호
2018-03-29
498
13702
◆ 전기의 단위 읽기 쓰기
김대호
2018-03-14
729
28376
◆ 실기시험 학습방법 (다수생 필독)
김대호
2016-11-21
475
14541
공학기초자료
김대호
2016-11-14
321
4310
◆ 관리자 자료실
김대호
2016-10-06
460
10850
348
[기사필기]
역행렬의 공식
(
0
)
김대호 교수
2017-02-21
412
3338
347
[필기문제]
압력센서의 종류
(
0
)
김대호 교수
2017-02-21
435
3367
346
[기사실기]
실효값을 사용하는 이유
(
0
)
김대호 교수
2017-02-21
450
5056
345
[기사실기]
시송전
(
0
)
김대호 교수
2017-02-21
383
3936
344
[기사실기]
선속도와 각속도
(
0
)
김대호 교수
2017-02-21
435
4922
343
[기사실기]
부분분수 전개방법
(
0
)
김대호 교수
2017-02-21
746
21415
342
[기사실기]
복소수
(
0
)
김대호 교수
2017-02-21
414
5885
341
[기사실기]
변압기 2상 6상 결선
(
0
)
김대호 교수
2017-02-21
419
6294
340
[기사실기]
발전제동과 회생제동
(
0
)
김대호 교수
2017-02-21
466
6509
339
[기사필기]
라플라시안
(
0
)
김대호 교수
2017-02-20
462
3084
338
[기사필기]
무한 선전하에 의한 전위
(
0
)
김대호 교수
2017-02-20
388
3884
337
[기사실기]
단위의 접두어
(
0
)
김대호 교수
2017-02-20
391
3075
336
[기사실기]
권선형 유도전동기의 시동방법
(
0
)
김대호 교수
2017-02-20
441
4591
335
[기사필기]
구동점 임피던스 [driving impedance]
(
0
)
김대호 교수
2017-02-20
371
4279
334
[기사실기]
게르게스법 : Gorges Starting Method
(
0
)
김대호 교수
2017-02-20
417
4481
333
[기사실기]
강색철도 (鋼索鐵道, cable / rope railway)
(
0
)
김대호 교수
2017-02-20
431
5066
332
[기사실기]
각속도의 정의
(
0
)
김대호 교수
2017-02-20
601
4173
331
[기사실기]
V결선 출력
(
0
)
김대호 교수
2017-02-20
503
5528
330
[기사필기]
계산기 메뉴얼
(
0
)
김대호 교수
2017-02-20
368
3384
329
[기사실기]
2전력계법
(
0
)
김대호 교수
2017-02-20
458
3688
<<
31
32
33
34
35
36
37
38
39
40
>>
사이트 이용문의 : 0505-233-3314 FAX : 0505-233-3315 이메일주소 : pekor@naver.com 대표 : 강명아
주소 : 서울특별시 서초구 효령로 41, 1층 통신판매등록번호 : 2010-서울서초-0491
사업자등록번호 : 114-90-85522 스카이미디어(교육청 평생교육시설) 개인정보관리책임자 : 강명아
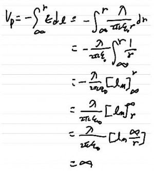
Since2004, Copyright ⓒ 2026 스카이미디어 / 전기스쿨 All Rights Reserved. Ver 3.4