장바구니
전기스쿨소개
교수소개
업데이트 : 2026.04.28
▼
■ 개강안내
■ 온라인강의
■ 원격제어
■ 뉴스레터
▼
필기합격반 도서
실기합격반 도서
무료동영상 도서
필기과정
필기종합반
과목별 단과반
필기특강반
실기과정
전기(산업)기사
공사(산업)기사
년도별문제
실기모의고사
USB 강의
필기합격반
실기과정 기사
실기과정 공사
기간무제한
필기합격반
실기과정 기사
실기과정 공사
실기모의고사
전기(산업)기사
공사(산업)기사
필기특강반
홈
>
커뮤니티
>
학습자료
우리들의 이야기 / 정보공유 / 무료학습자료
홈
>
커뮤니티
>
학습자료
합격수기
무료학습
학습자료
복원/모의고사
정회원 자료
열린게시판
구독게시판
전체보기
기사실기
기사필기
기술사
제목
이름
내용
번호
제목
등록인
등록일
추천수
조회수
비고
전기기사 전기기기, 15점 이상을 위한 캐릭터 공략법
김대호
2025-07-02
162
2561
한국전기설비규정(KEC), 15점 이상을 위한
김대호
2025-07-02
177
3740
전기기사 전력공학, 15점 이상을 위한 필승 공략집
김대호
2025-07-02
160
2766
전기기사 전자기학, 12점을 위한 전략적 학습법
김대호
2025-07-02
159
2481
전기기사 회로이론, 12점 확보를 위한 최소 공략법
김대호
2025-07-02
162
2811
표준용어사전
전기스쿨
2021-02-19
461
9166
◆ 전선약호 Full name
김대호
2018-03-29
497
13700
◆ 전기의 단위 읽기 쓰기
김대호
2018-03-14
727
28373
◆ 실기시험 학습방법 (다수생 필독)
김대호
2016-11-21
474
14537
공학기초자료
김대호
2016-11-14
320
4307
◆ 관리자 자료실
김대호
2016-10-06
459
10844
828
[기사실기]
콜라우시 브리지
(
0
)
김대호
2019-04-16
451
3839
827
[기사실기]
기동보상기법과 리액터기동법
(
0
)
김대호
2019-04-08
594
12699
826
[기사실기]
내선규정 연속부하가 있는 경우 분기회로의 용량산정
(
0
)
김대호
2019-04-03
478
4097
825
[기사실기]
내선규정 분기회로 산정시 부하용량의 산정방법 / 전용분기회로 처리사항
(
0
)
김대호
2019-04-03
545
4772
824
[기사실기]
스트랍(스트랩)과 랙크의 용도
(
0
)
김대호
2019-04-02
471
4589
823
[기사필기]
점전하가 만드는 자기장
(
0
)
김대호
2019-03-25
735
7581
822
[기사실기]
조상설비(調相設備, Phase Modifying Equipment)
(
0
)
김대호
2019-03-23
543
9212
821
[기사실기]
초전도 현상이란?
(
0
)
김대호
2019-03-23
561
4595
820
[기사필기]
삼각함수 적분공식 총정리
(
0
)
김대호
2019-03-19
742
10386
819
[기사실기]
NVS
(
0
)
김대호
2019-03-11
464
3947
818
[기사실기]
접지극 붙이 콘센트와 접지단자 붙이 콘센트
(
0
)
김대호
2019-03-09
513
8876
817
[기사실기]
역률개선의 원리
(
0
)
김대호
2019-03-05
469
4665
816
[기사실기]
섹쇼널라이저 (자동 선로 구분 개폐기)
(
0
)
김대호
2019-03-04
530
5306
815
[기사실기]
단상3선식 변압기
(
0
)
김대호
2019-02-28
449
4504
814
[기사실기]
위험장소의 분류(Classification of locations)
(
0
)
김대호
2019-02-28
509
8072
813
[기사실기]
내선규정 방폭구조의 종류(Type of explosion proof)
(
0
)
김대호
2019-02-28
708
5330
812
[기사실기]
반발전동기
(
0
)
김대호
2019-02-14
480
4358
811
[기사필기]
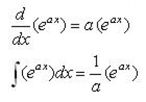
지수함수의 미분과 적분
(
0
)
김대호
2019-02-05
508
4668
810
[기사실기]
평행 두 도선사이의 정전용량 증명 / 선로정수중 작용정전용량의 증명
(
0
)
김대호
2019-02-01
488
5282
809
[기사실기]
연립방정식 행렬로 풀기 / 가우스 소거법 / 크래머 방식
(
0
)
김대호
2019-01-30
645
12715
1
2
3
4
5
6
7
8
9
10
>>
사이트 이용문의 : 0505-233-3314 FAX : 0505-233-3315 이메일주소 : pekor@naver.com 대표 : 강명아
주소 : 서울특별시 서초구 효령로 41, 1층 통신판매등록번호 : 2010-서울서초-0491
사업자등록번호 : 114-90-85522 스카이미디어(교육청 평생교육시설) 개인정보관리책임자 : 강명아
Since2004, Copyright ⓒ 2026 스카이미디어 / 전기스쿨 All Rights Reserved. Ver 3.4