쿠폰등록
모바일모드
전기스쿨인강 나의 강의실 커뮤니티 고객센터 동영상강의 USB강의 쇼핑몰 유료회원제
OFF
> 커뮤니티 > 학습자료 > 상세보기
우리들의 이야기 / 정보공유 / 무료학습자료
> 커뮤니티 > 학습자료 > 상세보기
트위터로 보내기 싸이월드 공감
리플전압 / 맥동률 공식유도 / [pulsation factor, 脈動率]  |  학습자료 2018-10-05 22:51:54
작성자  김대호교수 조회  20574   |   추천  920
첨부파일 : 1538747593-70.jpg

일반적으로 리플이라 함은 교류전원을 정류하여 직류로 만들때 완벽하게 직류가 되지 않고,교류신호가 일부 남아 있는데 이 신호를 리플전압이 합니다.


1. 리플/맥동 (Ripple)신호(전압 등)의 부분적인 변동(출렁임)

 2. 리플률/맥동률 (Ripple Factor)

  ㅇ  r = (리플 성분의 실효값) / (평균값)
        = [ 리플 전압 (rms) / dc 전압 ] x 100 % 
        = [ Vripple,RMS / VDC ] x 100 %

     -  직류 평균값 VDC에 대한 교류리플성분 실효값 vripple,RMS의 比

    

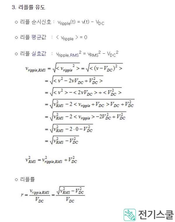
 3. 리플률 유도

  ㅇ 리플 순시신호 :  vripple(t) = v(t) - VDC

  ㅇ 리플 평균값   :  < vripple > = 0

  ㅇ 리플 실효값   :  vripple,RMS2 = vRMS2 - VDC2
       

  ㅇ 리플률
     
번호 제목 등록인 등록일 추천수 조회수 비고
788 [기사실기] 카르노맵 / 카르노도 (0) 김대호 2018-10-10 505 4827
787 [기사실기] 리플전압 / 맥동률 공식유도 / [pulsation factor, 脈動率] (0) 김대호교수 2018-10-05 920 20574
786 [기사실기] 내선규정 IEC 60364 접지 / TN TT IT (1) 김대호교수 2018-10-05 611 5938
785 [기사실기] 내선규정 전력량계 표준결선도 (1) 김대호 2018-10-05 534 4410
784 [기사실기] 분전반 도면 (1) 김대호교수 2018-10-05 712 16036
783 [기사실기] 고전압 절연저항계 (0) 김대호 2018-10-05 593 5009
782 [기사실기] 여자돌입전류 (0) 김대호교수 2018-10-05 654 5814
781 [기사실기] 단권변압기의 장단점 (0) 김대호 2018-10-04 616 8775
780 [기사실기] 유효접지조건 (0) 김대호 2018-10-03 502 5205
779 [기사실기] 직렬갭과 특성요소 (0) 김대호 2018-10-03 482 5189
778 [기사실기] 케이블헤드 인입장주 (1) 김대호 2018-09-22 497 4476
777 [기사실기] 변압기극성 / 가극성 / 감극성 (0) 김대호 2018-09-19 577 11784
776 [기사실기] 고압수전설비 복선도 (1) 김대호 2018-09-19 576 6314
775 [기사실기] 내철형 3상 변압기 구조 (1) 김대호 2018-09-19 501 5809
774 [기사실기] 판단기준 제136조(지중 전선로의 시설) (0) 김대호 2018-09-18 644 6895
773 [기사실기] 2018.9 동일출판사 실기 정오표 (0) 김대호 2018-09-18 498 3932
772 [기사실기] 내선규정 분기회로 전선의 굵기중 전등용 전선의 최소굵기 (전구선) (0) 김대호 2018-09-18 542 3806
771 [기사실기] 발전기의 표준정격출력 / 발전기 표준용량 (3) 김대호 2018-09-18 587 15310
770 [기사실기] 설비불평형률 / 전류불평형 / 전압불평형 (0) 김대호 2018-09-15 577 15529
769 [기사실기] 공칭전압별 차단기의 적용 (국내사례) (0) 김대호 2018-09-12 478 4070
추천
목록
회사소개 이용약관 개인정보취급방침 이메일주소무단 수집거부 광고문의 도서배송 관리자쪽지 찾아오시는길
사이트 이용문의 : 0505-233-3314 FAX : 0505-233-3315 이메일주소 : pekor@naver.com 대표 : 강명아
주소 : 서울특별시 서초구 효령로 41, 1층 통신판매등록번호 : 2010-서울서초-0491
사업자등록번호 : 114-90-85522 스카이미디어(교육청 평생교육시설) 개인정보관리책임자 : 강명아

Since2004, Copyright ⓒ 2026 스카이미디어 / 전기스쿨 All Rights Reserved. Ver 3.4