장바구니
전기스쿨소개
교수소개
업데이트 : 2026.04.28
▼
■ 개강안내
■ 온라인강의
■ 원격제어
■ 뉴스레터
▼
필기합격반 도서
실기합격반 도서
무료동영상 도서
필기과정
필기종합반
과목별 단과반
필기특강반
실기과정
전기(산업)기사
공사(산업)기사
년도별문제
실기모의고사
USB 강의
필기합격반
실기과정 기사
실기과정 공사
기간무제한
필기합격반
실기과정 기사
실기과정 공사
실기모의고사
전기(산업)기사
공사(산업)기사
필기특강반
홈
>
커뮤니티
>
학습자료
> 상세보기
우리들의 이야기 / 정보공유 / 무료학습자료
홈
>
커뮤니티
>
학습자료
> 상세보기
합격수기
무료학습
학습자료
복원/모의고사
정회원 자료
열린게시판
구독게시판
설비불평형률 / 전류불평형 / 전압불평형
| 학습자료
2018-09-15 14:55:55
작성자
김대호
조회 15529 |
추천 577
첨부파일 :
1536990954-7.jpg
첨부파일 :
1536990954-90.jpg
첨부파일 :
1536990954-18.jpg
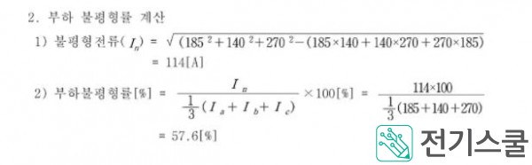
다중 접지 계통의 배전선로의 부하 불평형 개념을 3가지로 나누어 설명하고, A상 185A, B상 140A, C상 270A일때 불평형률%를 산출 하시오.
번호
제목
등록인
등록일
추천수
조회수
비고
788
[기사실기]
카르노맵 / 카르노도
(
0
)
김대호
2018-10-10
505
4827
787
[기사실기]
리플전압 / 맥동률 공식유도 / [pulsation factor, 脈動率]
(
0
)
김대호교수
2018-10-05
920
20573
786
[기사실기]
내선규정 IEC 60364 접지 / TN TT IT
(
1
)
김대호교수
2018-10-05
611
5937
785
[기사실기]
내선규정 전력량계 표준결선도
(
1
)
김대호
2018-10-05
534
4410
784
[기사실기]
분전반 도면
(
1
)
김대호교수
2018-10-05
712
16036
783
[기사실기]
고전압 절연저항계
(
0
)
김대호
2018-10-05
593
5009
782
[기사실기]
여자돌입전류
(
0
)
김대호교수
2018-10-05
654
5814
781
[기사실기]
단권변압기의 장단점
(
0
)
김대호
2018-10-04
616
8775
780
[기사실기]
유효접지조건
(
0
)
김대호
2018-10-03
502
5205
779
[기사실기]
직렬갭과 특성요소
(
0
)
김대호
2018-10-03
482
5189
778
[기사실기]
케이블헤드 인입장주
(
1
)
김대호
2018-09-22
497
4476
777
[기사실기]
변압기극성 / 가극성 / 감극성
(
0
)
김대호
2018-09-19
577
11783
776
[기사실기]
고압수전설비 복선도
(
1
)
김대호
2018-09-19
576
6313
775
[기사실기]
내철형 3상 변압기 구조
(
1
)
김대호
2018-09-19
501
5809
774
[기사실기]
판단기준 제136조(지중 전선로의 시설)
(
0
)
김대호
2018-09-18
644
6894
773
[기사실기]
2018.9 동일출판사 실기 정오표
(
0
)
김대호
2018-09-18
498
3932
772
[기사실기]
내선규정 분기회로 전선의 굵기중 전등용 전선의 최소굵기 (전구선)
(
0
)
김대호
2018-09-18
542
3806
771
[기사실기]
발전기의 표준정격출력 / 발전기 표준용량
(
3
)
김대호
2018-09-18
587
15309
770
[기사실기]
설비불평형률 / 전류불평형 / 전압불평형
(
0
)
김대호
2018-09-15
577
15529
769
[기사실기]
공칭전압별 차단기의 적용 (국내사례)
(
0
)
김대호
2018-09-12
478
4069
사이트 이용문의 : 0505-233-3314 FAX : 0505-233-3315 이메일주소 : pekor@naver.com 대표 : 강명아
주소 : 서울특별시 서초구 효령로 41, 1층 통신판매등록번호 : 2010-서울서초-0491
사업자등록번호 : 114-90-85522 스카이미디어(교육청 평생교육시설) 개인정보관리책임자 : 강명아
Since2004, Copyright ⓒ 2026 스카이미디어 / 전기스쿨 All Rights Reserved. Ver 3.4