쿠폰등록
모바일모드
전기스쿨인강 나의 강의실 커뮤니티 고객센터 동영상강의 USB강의 쇼핑몰 유료회원제
OFF
> 커뮤니티 > 학습자료 > 상세보기
우리들의 이야기 / 정보공유 / 무료학습자료
> 커뮤니티 > 학습자료 > 상세보기
트위터로 보내기 싸이월드 공감
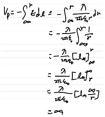
무한 선전하에 의한 전위  |  학습자료 2017-02-20 14:25:32
작성자  김대호 교수 조회  3885   |   추천  388
첨부파일 : 1487568332-19.jpg

 
번호 제목 등록인 등록일 추천수 조회수 비고
348 [기사필기] 역행렬의 공식 (0) 김대호 교수 2017-02-21 412 3340
347 [필기문제] 압력센서의 종류 (0) 김대호 교수 2017-02-21 435 3368
346 [기사실기] 실효값을 사용하는 이유 (0) 김대호 교수 2017-02-21 450 5057
345 [기사실기] 시송전 (0) 김대호 교수 2017-02-21 383 3937
344 [기사실기] 선속도와 각속도 (0) 김대호 교수 2017-02-21 435 4923
343 [기사실기] 부분분수 전개방법 (0) 김대호 교수 2017-02-21 746 21416
342 [기사실기] 복소수 (0) 김대호 교수 2017-02-21 414 5886
341 [기사실기] 변압기 2상 6상 결선 (0) 김대호 교수 2017-02-21 419 6295
340 [기사실기] 발전제동과 회생제동 (0) 김대호 교수 2017-02-21 466 6511
339 [기사필기] 라플라시안 (0) 김대호 교수 2017-02-20 462 3084
338 [기사필기] 무한 선전하에 의한 전위 (0) 김대호 교수 2017-02-20 388 3885
337 [기사실기] 단위의 접두어 (0) 김대호 교수 2017-02-20 391 3076
336 [기사실기] 권선형 유도전동기의 시동방법 (0) 김대호 교수 2017-02-20 441 4591
335 [기사필기] 구동점 임피던스 [driving impedance] (0) 김대호 교수 2017-02-20 371 4280
334 [기사실기] 게르게스법 : Gorges Starting Method (0) 김대호 교수 2017-02-20 417 4482
333 [기사실기] 강색철도 (鋼索鐵道, cable / rope railway) (0) 김대호 교수 2017-02-20 431 5067
332 [기사실기] 각속도의 정의 (0) 김대호 교수 2017-02-20 601 4174
331 [기사실기] V결선 출력 (0) 김대호 교수 2017-02-20 503 5529
330 [기사필기] 계산기 메뉴얼 (0) 김대호 교수 2017-02-20 368 3384
329 [기사실기] 2전력계법 (0) 김대호 교수 2017-02-20 458 3689
추천
목록
회사소개 이용약관 개인정보취급방침 이메일주소무단 수집거부 광고문의 도서배송 관리자쪽지 찾아오시는길
사이트 이용문의 : 0505-233-3314 FAX : 0505-233-3315 이메일주소 : pekor@naver.com 대표 : 강명아
주소 : 서울특별시 서초구 효령로 41, 1층 통신판매등록번호 : 2010-서울서초-0491
사업자등록번호 : 114-90-85522 스카이미디어(교육청 평생교육시설) 개인정보관리책임자 : 강명아

Since2004, Copyright ⓒ 2026 스카이미디어 / 전기스쿨 All Rights Reserved. Ver 3.4