|
|
| 947 |
[기사실기]
비중과 밀도의 차이 (0)
|
전기스쿨 |
2021-04-29 |
600 |
10485 |
 |
|
|
|
| 944 |
[기사실기]
절연협조 (0)
|
김대호 |
2021-04-15 |
583 |
7931 |
 |
|
| 943 |
[기사실기]
변압기용량(유입) (0)
|
김대호 |
2021-04-15 |
420 |
4806 |
 |
|
|
| 941 |
[기사실기]
기중차단기의 규격 (0)
|
전기스쿨 |
2021-04-08 |
496 |
3838 |
 |
|
|
|
| 938 |
[기사실기]
분기회로의 종류 (0)
|
김대호 |
2021-03-24 |
432 |
3567 |
 |
|
|
|
|
| 934 |
[기사필기]
결합계수 (0)
|
김대호 |
2021-02-25 |
427 |
3995 |
 |
|
|
| 932 |
[실기대비]
동기검정등 (0)
|
김대호 |
2020-12-19 |
394 |
3495 |
 |
|
|
| 930 |
[기사실기]
한자용어 표준화 (0)
|
김대호 |
2020-11-27 |
486 |
4145 |
 |
|
| 929 |
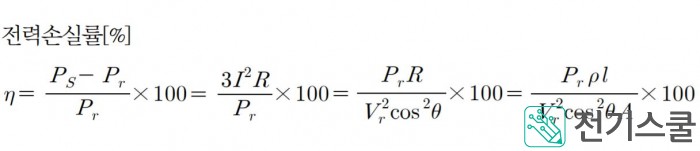
[기사실기]
전력손실률 (0)
|
김대호 |
2020-11-07 |
577 |
5597 |
 |
|